Phylogeny & Conservation

There is growing scientific consensus that we are experiencing an extinction crisis. The International Union for Conservation of Nature has documented the slide toward extinction of many groups in its Red List publications. In mammals, 21% of species are currently listed as threatened with extinction and similar proportions seem threatened in other taxonomic groups. Global biodiversity may thus change considerably in our lifetime. With a core group of collaborators, I have worked to better integrate phylogenetic diversity metrics into conservation thinking (see Rolland, Cadotte, Davies et al. 2012 Biol Lett 8:692; Vernon, Davies et al. 2017 Biol Rev 92:271). By considering dimensions of diversity that capture species properties rather than just numbers, such approaches might be especially relevant for maintaining the provisioning of important ecosystem functions and services (Forest et al. 2007 Nature 445:757; Thompson, Davies & Gonzalez 2015 PLOSONE 10:e0117595. Davies et al. 2016 Ecology 97:221). It was rewarding, therefore, to see phylogenetic diversity included in the National Academy of Sciences colloquium on Biodiversity & Extinction (Davies et al. 2008 PNAS 105:11556).
This body of work has helped extend conservation thinking beyond the traditional focus on species.

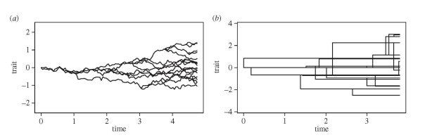
Simulated trait evolution under alternative evolutionary models. Illustration of accumulating trait variance assuming a model of phyletic gradualism (Brownian motion) (a) and a speciational model of punctuated evolution (b), in which trait change occurs in rapid bursts at speciation. Evolutionary time is on the x-axis and trait values on the y-axis.
By more explicitly considering models of trait evolution we can better understand how extinctions prune the tree of life (Davies 2015 Phil Trans R Soc 370: 20140006; Davies & Kowiyou 2013 Biol Lett 9:20130343; Huang, Gittleman & Davies 2012 Biol Lett 8:222), and reveal novel associations, such as the link between the processes of speciation and extinction which has important implications for Red-Listing plant species (Davies et al. PLoS Biol 9:e1000620). I discuss this research here with CBC journalist, Geeta Nadkarni. To help the integration of phylogenetic approaches into conservation biology we have developed novel metrics that combine abundance, geographic rarity and evolutionary distinctiveness (Cadotte & Davies 2010 Div Distrib 16:376; Tucker, Cadotte, Davies et al. 2012 Cons Biol 26:593). However, a growing number of (sometimes overlapping) phylo-diversity metrics has at times threatened to overwhelm the field. We therefore published a major review in Tucker et al. (2017 Biol Rev 92:698), as part of an international working group on Synthesizing phylogenetic measures for ecology and conservation—sPHY, in an attempt to show how different metrics relate to each other and as a guide for practitioners.


